来宝网Logo

热门词: 进口电动温度调节阀结构图|进口电动温度调节阀数据表进口电动高温调节阀-德国进口电动高温法兰调节阀进口电动蒸汽调节阀-德国进口电动蒸汽调节阀

供应混合型数据采集8路模拟量输入开关量输出模块DAM-6081

价  格:询价

产  地:广东 深圳市更新时间:2025-02-21 12:24

品  牌:其他型  号:

状  态:正常点击量:1757

400-006-7520
联系我时,请说明是在上海非利加实业有限公司上看到的,谢谢!

上海非利加实业有限公司

联 系 人: 上海非利加实业有限公司

电   话: 400-006-7520

传   真: 400-006-7520

配送方式: 上海自提或三方快递

联系我时请说在上海非利加实业有限公司上看到的,谢谢!




产品参数


产品介绍

 供应混合型数据采集8路模拟量输入开关量输出模块DAM-6081产品简介:
提供C#,西门子PLC,三菱PLC,欧姆龙PLC,台达PLC,威纶通触摸屏通信实例demo。并提供模块调试助手

 Modbus协议:

Modbus协议是 种广泛应用于当今工业控制领域的通用通信协议。通过此协议,控制器相互之间、或控制器经由网络可以和其它设备之间进行通信。

DAM-6081模块是全新 代基于嵌入式系统的模块式数据采集器,采用标准DIN35导轨安装方式,现场安装简单,使用灵活;应对各种现场应用。模块配置有RS485接口,可单独与PCPLC通信,也可以与多个485模块组网使用。

DAM-6081是集模拟量输入、开关量输出于 体的混合型数据采集器,可采集8路单端模拟信号,同时,模块也可以带有4路开关量输出;模块采用高性能12AD芯片,通过电路处理及软件特殊算法 终采集测量精度优于±0.2%。适用于采集工业现场的各种电压和电流信号。

DAM-6081采用 进的磁隔离技术,有效保障数据采集的速度、可靠及安全。

技术特性:

 

◆嵌入式实时操作系统

◆开关量输出接口:4路

◆模拟输入通道:8路单端

◆模拟输入信号范围:

20mA

+5V

 

+10V

+24V

◆AD转换分辨率:12位

◆测量精度:±0.2%(典型值)

◆转换速率:60次/秒(全通道)

◆宽供电范围:DC 9~30V

◆地址/波特率可由用户配置

◆支持Modbus RTU协议

◆支持模块主动发送数据模式

◆±15KV ESD保护

◆隔离耐压:DC 1500V 

◆工作温度范围:-40℃~80

◆工业 ABS阻燃外壳,标准DIN35导轨

                       功能配置◆

模块型号

DAM-6081

DAM-6084

AD(12bit)

8路

8路

开关量接口

4路输出

4路输入

RS485

支持

支持

 

 

 模块工作原理图


 

 

 输入输出隔离

产品针对工业应用设计:通过DC-DC变换,实现测量电路和主控电路电源隔离;同时控制单元与通讯单元采用光电隔离技术实现电气隔离,达到电源、通讯、采集三端隔离的目的;有效保障数据采集可靠及安全。

 通信隔离

产品采用RS485/232隔离电路,将通信与系统单独隔离开,消除通信设备之间共模干扰

 浪涌保护

模块配有瞬态抑制电路,能有效抑制各种浪涌脉冲,保护模块在恶劣的环境下可靠工作。

 开关量输出

◆开关量输出通道数:4路(DAM-6081)

◆开关量输出方式:NPN三 管

◆开关量能力:40V  350mA

◆开关量输出瞬间 限:55V  2A

 

       开关量输出

 

DAM-6081模块 多可以配置4路开关量输出通道,可以用于控制输出、安全报警输出等。

 开关量输出接线

 

 

                                 DAM-6081开关量输出接线示意图

DAM-6081模块开关量输出采用NPN三 管集电 开路输出,输出有效电平为低电平;当对相应端口写“0”时输出有效,三 管导通;当对相应端口写“1”时输出无效,三 管关断。

当输出负载为感性负载时(如继电器),为防止负载在关断时产生高压放电,需要在负载两端并 个续流二 管。

 模拟输入

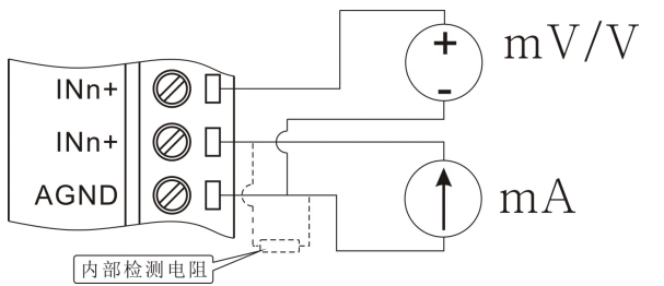
所谓模拟量信号是指连续的,任何时刻可为任意 个数值的信号,例如我们常见的温度、压力、流量等信号。对于工业控制现场常见的模拟量信号,可以通过传感器获取其值的变化,为获取传感器的输出值就需要采用模拟量输入模块。DAM-6081模块配置有 多8路模拟量输入。

 模拟量输入接线

 

                  DAM-6081模拟量输入接线示意图

 

DAM-6081模拟输入为单端输入,模块所有模拟地(AGND)都连接在 起;AGND即为模块所有模拟信号输入地,为了提高模块检测精度,请尽量就近接地。

电压信号与电流信号可以直接接入模块检测,采集电流需要注意的是在定货时需告知模块用于采集电流信号,这样模块在出厂时会在模块内部放置高精度电流检测电阻且出厂时用标准电流信号校准。

 Modbus协议:

Modbus协议是 种广泛应用于当今工业控制领域的通用通信协议。通过此协议,控制器相互之间、或控制器经由网络可以和其它设备之间进行通信。

售后保障:

本产品自售出之日起提供两年质保,7x24小时技术服务,凡用户在遵守贮存、运输及使用要求的条件下产品损坏,或产品质量低于技术指标的,免费返厂维修。因违反操作规定和要求而造成产品损坏的,需交纳器件费用和维修费。


相关产品分类


关于我们客户服务产品分类法律声明