4-20ma转485模块modbus模拟量输入模块优质厂***
提供C#,西门子PLC,三菱PLC,欧姆龙PLC,台达PLC,威纶通触摸屏通信实例demo。并提供模块调试助手
Modbus协议:
Modbus协议是 种广泛应用于当今工业控制领域的通用通信协议。通过此协议,控制器相互之间、或控制器经由网络可以和其它设备之间进行通信。
DAM-7011是集模拟量输入型数据采集器,配置有1路模拟输入通道。模块采用高性能16位AD芯片,测量精度±0.1%。模块具有低温飘,线性度高, 致性好;使用方便等特点;适用于采集工业现场的各种电压/电流信号,为现场数据采集提供 种稳定且低成本的采集产品。
DAM模块是全新 代基于嵌入式系统的模块式数据采集器,采用标准DIN35导轨安装方式,现场安装简单,使用灵活;应对各种现场应用。可采集1路差分模拟信号;模块采用高性能16位AD芯片,采集测量精度±0.1%。模块配置有隔离的RS232/RS485接口,方便与PC或PLC通信;可单独与PC或PLC通信,也可以与多个485模块组网使用。
DAM-7011采用 进高效的光电+磁隔离技术,电源、通讯、信号输入三端隔离,有效保障数据采集的速度、可靠及安全。
产品特性:
|
◆ARM嵌入式实时操作系统
|
|
◆模拟输入通道:1路差分
|
|
◆模拟输入信号范围:
|
±20mA,
|
±100mV,
|
|
|
±1V,
|
±2.5V,
|
±5V,
|
±10V
|
|
◆AD转换分辨率: 16位
|
|
◆测量精度:±0.1%(典型值)
|
|
◆转换速率:40次/秒(全通道)
|
|
◆宽供电范围:DC 9~30V(24V@20mA)
|
|
◆地址/波特率可由用户配置
|
|
◆支持Modbus RTU协议及自定义ASCII协议
|
|
◆支持模块主动发送数据模式
|
|
◆±15KV ESD保护
|
|
◆三端隔离耐压:电源/通信/模拟输入之间≥1500V AC
|
|
◆工作温度范围:-40℃~80℃
|
|
◆工业 ABS阻燃外壳,标准DIN35导轨
|
模块工作原理图:
输入输出隔离
产品针对工业应用设计:通过DC-DC变换,实现测量电路和主控电路电源隔离;同时控制单元与通讯单元采用光电隔离技术实现电气隔离,达到电源、通讯、采集三端隔离的目的;有效保障数据采集可靠及安全。
浪涌保护
模块配有瞬态抑制电路,能有效抑制各种浪涌脉冲,保护模块在恶劣的环境下可靠工作。
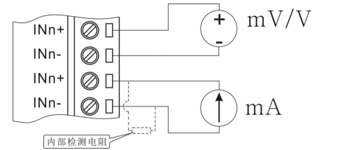
模拟量输入接线:

DAM-7011模拟量输入接线示意图
DAM-7011模拟输入为差分输入,每个模拟输入通道都有两个接线端口,分别为模拟输入正(INn+)与模拟输入负(INn-)。
DAM-7011配置有1路RS232与1路RS485,RS232可以直接与电脑连接,RS485可以单个与PLC或其它主机连接,也可以多个模块组网后与PLC或其它主机连接
DAM-7011模块通信模式通常为主从模式( 问 答模式);主机通过通信接口发送命令给模块,模块在接收到正确命令之后做出相应响应。
DAM-7011模块通信模式通常为主从模式( 问 答模式);主机通过通信接口发送命令给模块,模块在接收到正确命令之后做出相应响应。
通信地址
DAM-7011模块通信地址范围为01~FF(1~255),模块地址出厂设置为01;模块通信地址可以由用户根据现场需要通过命令修改,具体方法参见相应命令。
通信速率
DAM-7011模块RS232/RS485支持波特率:1200bps、2400bps、4800bps、9600bps、19200bps、38400bps、57600bps、115200bps;模块出厂默认波特率为9600bps,模块通信速率可以由用户根据现场需要通过命令修改,具体方法参见配置说明
通信协议
DAM模块支持Custom-ASCII协议(自定义的ASCII协议),用户可以通过简单的ASCII命令方便的读取测量数据和配置模块参数,比如配置地址(001~0FF)、波特率。
选型表:
售后保障:
本产品自售出之日起提供两年质保,7x24小时技术服务,凡用户在遵守贮存、运输及使用要求的条件下产品损坏,或产品质量低于技术指标的,免费返厂维修。因违反操作规定和要求而造成产品损坏的,需交纳器件费用和维修费。