智能数据采集终端模拟量输入输出模块DAM-4424简介 :支持4路模拟量输入采集、2路模拟量输出、4路开关量输入输出三种功能。
提供C#,西门子PLC,三菱PLC,欧姆龙PLC,台达PLC,威纶通触摸屏通信实例demo。并提供模块调试助手
DAM模块是全新 代基于嵌入式系统的模块式数据采集器,采用标准DIN35导轨安装方式,现场安装简单,使用灵活;应对各种现场应用。模块配置有RS232接口,方便与PC或PLC通信,模块配置有RS485接口,可单独与PC或PLC通信,也可以与多个485模块组网使用。
DAM-4424是集模拟量输入、模拟量输出与数字量输出于 体的混合型数据采集器,可采集2路单端/差分模拟信号与4路数字量信号,并可以输出2路模拟量信号;模块采用高性能24位AD芯片,测量精度±0.05%。适用于采集工业现场的各种电压和电流信号,现场电压/电流信号控制系统。
DAM-4424采用 进的磁隔离技术,有效保障数据采集的速度、可靠及安全。
DAM-4424是集模拟量输入、模拟量输出与数字量输入于 体的混合型数据采集器,可采集4路单端模拟信号与4路数字量信号,并可以输出2路模拟量信号;模块采用高性能24位AD芯片,测量精度±0.05%。适用于采集工业现场的各种电压/电流信号及数字量/开关量信号,现场电压/电流信号控制系统。
DAM-4424是模拟量输入输出模块,该系列模块可支持4路模拟量输入采集、2路模拟量输出、4路开关量输入输出三种功能。可以采集现场模拟量信号,也可以输出模拟量及开关量信号,通过RS232或者RS485隔离传输至终端,如PC、PLC、工控机、触摸屏等;通过转网模块可将数据传输至云端。该系列产品型号配置如下表:
|
型号
|
输入输出信号类型
|
通道数
|
通讯接口
|
|
DAM-4220
|
模拟量
|
2AI+2AO
|
RS485和RS232
|
|
DAM-4424
|
模拟量、开关量
|
4AI+2AO+4IO
|
RS485或RS232
|
1.2 模拟量输入输出模块电气参数 Electrical parameter
1.2.1 电源电压:9-30V DC
1.2.2 功耗:30mA@24V DC Max
1.2.3 测量精度:±0.1%(忽略信号本身误差)
1.2.4 输出精度:±0.2%
1.2.5 信号输入保护:电流100mA@Max 电压70V DC@Max
1.2.6 工作温度:-40℃到+75℃
1.2.7 工作湿度:-20% 到 +95% 不凝露
1.2.8 隔离耐压:电源3000V,通讯接口1500V
模块工作原理图:

高精度模拟量输出
DAM-40系列模拟量输出模块,可以独立输出2路模拟量信号;模块采用高性能12位DA芯片,输出精度可达±0.2%。
输入输出隔离
产品针对工业应用设计:通过DC-DC变换,实现测量电路和主控电路电源隔离;同时控制单元与通讯单元采用光电隔离技术实现电气隔离,达到电源、通讯、采集三端隔离的目的;有效保障数据采集可靠及安全。
浪涌保护
模块配有瞬态抑制电路,能有效抑制各种浪涌脉冲,保护模块在恶劣的环境下可靠工作。
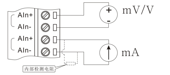
模拟量输入的接线

Custom-ASCII数据格式
使用Custom-ASCII命令读取模块数据时模块直接以ASCII码返回转换结果,其单位为量程单位,如:量程是0~20mA,那么返回数据的单位为mA,下面以列表举例说明:
|
序号
|
返回数据
|
通道量程
|
数据代表采样值
|
|
1
|
+10.000
|
0~20mA
|
模拟输入通道输入电流值为+10.000mA
|
|
2
|
+010.00
|
0~100mV
|
模拟输入通道输入电压值为+10.00mV
|
|
3
|
+1.5000
|
0~5V
|
模拟输入通道输入电压值为+1.5000V
|
|
4
|
+01.500
|
0~10V
|
模拟输入通道输入电压值为+1.500V
|
Modbus-RTU数据格式
Modbus数据格式为有符号整数二制补码格式,DAM-422X模块配置为24位AD,因此数据有效位数为24位;标准Modbus整型数据为16位(寄存器开始地址00002),我公司为了给用户提供更高精度读取也为用户提供32位整型数据格式(寄存器开始地址02002),具体参见“MODBUS地址分配”。
1.3 模拟量输入输出模块出厂默认设置 Default settings
出厂默认通讯参数为:地址01H,波特率9600,数据位8,无校验,停止位1;通讯协议默认为自定义ASCII协议,如用户要求modbus-rtu协议,则出厂配置为RTU协议。默认协议可从设备标签上获知。通讯参数可通过诚控电子提供的调试助手配置。
1.5 产品选型表
提供C#,西门子PLC,三菱PLC,欧姆龙PLC,台达PLC,威纶通触摸屏通信实例demo。并提供模块调试助手
售后保障:
本产品自售出之日起提供两年质保,7x24小时技术服务,凡用户在遵守贮存、运输及使用要求的条件下产品损坏,或产品质量低于技术指标的,免费返厂维修。因违反操作规定和要求而造成产品损坏的,需交纳器件费用和维修费。
品牌介绍:
诚控电子是***内 的工业互联网生态系统领导企业,专注于工业物联网前端信息传感、数据采集、数据转换及传输设备的研发、生产及销售。公司紧跟工业4.0、物联网发展步伐,以用户需求和前沿技术驱动创新,推动行业进步,
自主研发的产品包括多种总线数据采集模块、分布式采集模块、无线通讯数传采集模块、工控机、传感器、无风扇工业电脑、工业平板电脑等。企业通过了******质量体系,CE欧盟质量体系,产品被广泛应用于环境、电力、通讯、航天、军工等领域。
诚控电子成立以来, 直致力于为客户提供优质的产品和服务,与军工单位、科研院所等行业机构具有长期稳定的合作关系,同时展开与与华为,富士康等***内 企业单位有过深入合作,持续不断地获取行业新技术,完善自主知识产权产品的研发,
为客户提供 的服务。公司设立了深圳、东莞两个研发分公司,团队中有 批具有十年以上自动化行业研究与产品开发经验的工程师,是 支 的研发团队。更多型号选型请登录诚控电子。