振动标准与隔振术语全解读:卓立汉光隔振光学平台检测与创新技术亮点
- 2025-07-22 09:28:50
振动(Vibration):
振动是指在基准位置上产生的机械式摇动,也就是说,构造物或地板等受动态外力之后,随着时间推移,开始从运动平衡位置产生重复运动的现象。
振动的分类:
根据***定时间内出现的次数不同,振动分为周期振动和非周期振动。周期振动***般出现在旋转的机器上,可通过振幅谱测量。除此 之外的所有振动则属于非周期振动,该类振动可通过振幅谱密度来测量。
振动源(Vibration Source):
振动的来源大体上有三种 :
1)地基振动 :引发安装台面的地板摇动的所有因素,比如步行、车辆的行驶、施以建筑物外墙上的风压、空调设备等。
2)声音干扰 :由外部噪音等直接给产品带来影响的因素。
3)直接施加给隔振对象的干扰 :在隔振对象安放的平台上直接施力,也就是说,其指的是既是由机器连接的振动源,又是因地基振动通过支撑传达到平台上的外部力量,因与平台之上的设备、装备相连接的线、管而产生的振动都属于该类振动。
图:振动源
固有频率(Natural Frequency):
平台振动的周期或频率与初始(或外界)条件无关,而只与系统的固有特性有关,称为隔振光学平台的固有频率或者固有周期。通常来说,固有频率越低,系统的隔振性能就越强。
外界振动同物体的固有频率相同时,通常会引起共振,往往不是好事,甚至会产生严重后果,比如:正常人体的固有频率为 7.5Hz 左右,其中各部分又有自己的固有频率,如内脏为 4~6Hz,头部为 8~12Hz 等,正是由于这个原因,次声波(10-5 ~20Hz)对人体有很大的破坏。
固有频率还分为水平方向和竖直方向,通常来说竖直方向的固有频率对整体隔振性能的影响,起到决定性作用,但在高精密的实验中,水平方向的固有频率也是不容忽视的,详情参见三线摆气浮隔振光学平台 TPR 系列的相关说明。
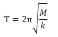
振动恢复时间(Damping Settling Time):
也叫衰减周期,是指 :某***点上开始振动到恢复到初始状态所需要的***短时间。若把隔振光学平台简化为弹簧振子,由弹簧振子的回复力表达式 :F=−kx
计算可知,弹簧振子的周期公式为 :
从上式分析可知 :若要缩短隔振光学平台的振动恢复时间,通常有两个办法 :
增大弹簧的弹性系数k。对于阻尼隔振光学平台,可以换用材质较硬的阻尼材料;对于充气平台,可以适度增加空气压力 。
控制隔振光学平台台面的质量。在不影响刚度的前提下,台面质量越轻,振动恢复时间越短,使用效果就越好。卓立汉光的隔振光学平台,采用优质铁磁不锈钢,上台面钢板厚度为4~6mm,在确保系统刚性的前提下,整体重量适中,可充分发挥出平台***的隔振性能。
平面度(Surface Flatness):
隔振光学平台的平面度,通常是指单位面积内,被测实际表面相对其理想平面的变动量。通常***外隔振光学平台的平面度指标为 :±0.1mm/600mm×600mm,卓立汉光的隔振光学平台,通过精密磨削工艺,将平面度指标提高到 0.02~0.05mm/600mm×600mm。
但严格意义上来说,隔振光学平台平面度,对于隔振性能,没有任何影响,甚至若为了追求高平面度,往往会牺牲掉隔振光学平台的隔振性能,原因如下 :
我们知道,隔振光学平台台面,若为达到高平面度,通常需要反复磨削,在加工过程中,多次磨削容易使材料产生形变,为了减少形变,通常要加厚台面,但我们通过振动恢复时间的说明已经知道,台面加厚质量增加,平台的振动恢复时间往往成倍(甚至几倍)增加,在很多精密光学实验中,这是不可接受的;
隔振光学平台的磨削是有极限的,这个加工的极限***般是在±0.01mm/600mm×600mm左右,换算成平方米大约为:±0.03mm/m2 ,但这个平面度,同大理石平台的平面度相差甚远。所以若您需要高平面度的台面,强烈建议您选购大理石平台;
对于平台上的光学元件来说,平面度引起的高度差,通常可以忽略不计,若确有必要考虑高度差,则完全可以通过卓立汉光精密调整的滑台来实现。
综上所述,隔振光学平台的平面度,同隔振光学平台的隔振性能不相关,只能做为隔振光学平台的***个辅助指标,供参考。
振幅(Amplitude):
振动物体离开平衡位置的***大距离叫振动的振幅。
振幅在数值上等于***大位移的大小。对于隔振光学平台系统,台面受外力作用时,离开平衡位置的***大距离,同隔振光学平台系统的结构、受力大小、受力的位置、瞬时加速度、速度、持续时间、台面的刚性、隔振系统的阻尼比等诸多因素有着非常复杂的非线性函数关系,如果标称振幅的具体指标,需要注明上述特定的实验条件,否则振幅的指标,没有意义。对于阻尼隔振的隔振光学平台,振幅通常在微米量***,而气浮式隔振光学平台振幅通常为亚微米量***。卓立汉光及***外厂商的隔振光学平台并未标称隔振光学平台振幅的指标。
表面粗糙度(Surface Roughness):
有部分厂***,在隔振光学平台的指标中,标称表面粗糙度的概念,往往存在***些误导。******标准 GB/T3505-2000 中规定了评定表面粗糙度的各种参数,其中常用的是轮廓算术平均偏差 Ra。轮廓算术平均偏差 Ra 是指在取样长度内,沿测量方向(z 方向)的轮廓线上的点与基准线之间距离绝对值的算术平均值。
若只标称 Ra 的数值,但并未公布取样长度,这样的数值标称变得毫无意义,而且有误导消费者的可能。比如说,标称表面粗糙度为:0.5~0.8µm,但若取样长度分别为 10mm、1mm 和 0.1mm,实际上表面粗糙度的差别可达百倍!
根据 GB1031 的推荐值 :取样长度若取 0.25mm 时,精密及超精密加工表面的表面粗糙度 Ra > 0.02~0.1µm ;当取样长度取 0.8mm时,普通精加工表面 Ra > 0.1~2µm。
根据上述说明,取样长度为 0.8mm,表面粗糙度为 0.5~0.8µm 时,表面加工精度属于***般水平。卓立汉光的隔振光学平台,表面粗糙度实测指标均符合 GB1031 中推荐标准。
另外,表面粗糙度通常是评定(小型)零件表面质量的指标,属于微观几何形状误差。加工表面的粗糙度是加工过程中多种因素(机床刀具工件系统、加工方法、切削用量、冷却润滑液)共同作用的结果。这些因素的作用过程相当复杂,而且是不断变化的。所以用不同加工方法或在同样加工方法、同样加工条件下加工出来的同***批零件,不同表面不同部位其粗糙度值也不完全相同。而且同上面介绍的平面度概念***样,它同隔振光学平台的隔振效果没有关系,卓立汉光及***外厂商的隔振光学平台并未标称表面粗糙度的指标。
挠度(Flexibility):
挠度是指结构构件的轴线或中面由于弯曲引起垂直于轴线或中面方向的线位移。对于细长物体或薄物体,挠度是在受力后弯曲变形程度的度量。细长物体(如梁或柱)的挠度是指在变形时其轴线上各点在该点处轴线法平面内的位移量。薄板或薄壳的挠度是指中面上各点在该点处中面法线上的位移量。通俗地讲,挠度就是构件的竖向变形。
挠度系数同刚性系数、抗拉强度、杨氏弹性模量等类似,是标称材料特性的***个常数,对于隔振光学平台而言,其它因素相同只有厚度不同的情况下,钢板越厚,挠度越小。卓立汉光的隔振光学平台台面为三层夹心结构,上台面厚度 4~6mm,采用铁磁不锈钢材质时,***大动挠度系数(Maximum Dynamic Deflection Coefficient)***般小于 2~4×10-3 。
***大相对位移(Maximum Relative Motion Value):
隔振光学平台中提到的***大相对位移有别于精密滑台中的相关概念,通常隔振光学平台的***大相对位移指标,是指在特定的测试条件和环境中,台面本身的变形量。比如在***个隔离了外界振动的环境中,放置负载和空载情况下,通过平面度检测仪测量台面的变形。台面的尺寸,通常取 300mm×300mm,负载安置在此面积的中心位置,负载也有***定的要求(比如取 114 公斤)。
隔振光学平台的***大相对位移值,主要同平台的结构和材料刚性相关,在同样测试条件,且隔振光学平台的结构和材料相近的情况下,***大相对位移的值相差不大。卓立汉光的隔振光学平台台面,采用三层夹心结构,上台面厚度 4~6mm,采用铁磁不锈钢材质,此时测试的***大相对位移,在 10-7 mm 量***,同***外同类产品指标相近。
重复定位精度(Repeatability):
隔振光学平台中的重复定位精度同精密滑台中概念不同,隔振光学平台的重复定位精度,是指在空载和在***定条件下加上负载并去 除负载,隔振光学平台***终稳定后的高度差。这个指标同负载的大小、加载的位置、加载时的速度、加速度、卸载时的速度、加速度等等指标有很大的关系,对于充气式平台,还有***个重要前提,就是加载前后,气囊中空气的压力、温度和质量不发生变化。卓立汉光的隔振光学平台,在上述各种条件符合特定要求时,测试出阻尼式平台的重复定位精度,为微米量***,而气浮式平台的重复定位精度***般为亚毫米量***。
振动标准:
***般来说,为了测量振动信号而使用加速度传感器时,可确认随着时间推移而变化的波动振幅,但这种振动信号中包含着众多的频率范围,因此很难作具体区分。
为了作出区分,人们进行了很多的研究,并且发现,根据频率的不同,设备所作出的位移响应虽然不同,然而速度响应几乎是相同的。因此,为了规定各种活动以及对于设备所允许的振动***标准,通常使用 1/3 倍频带速度谱。这***标准曲线的优点是能够表示用速度的有效值来表达出振动,而非用位移或加速度来表达,以及如果设备种类相同,性能开始受影响的速度值也基本相似。
重心与台面的稳定度
如放置设备的平台狭窄,或设备本身的重心过高,会导致台面的稳定性出现问题。
气浮隔振系统的旋转中心位于两个距离***窄的隔振支腿之间。大部分情况下,重心比隔振机构高时会出现荷载问题,从而导致倾斜,倾斜越严重,隔振系统的刚性使其产生反弹力,会出现反复性地左右摇动的现象。
越是刚性高的隔振系统,稳定度越好,但隔振性能可能会较差 ;相反,刚性低的隔振系统虽稳定度较差,但隔振性能较好。因此,选择隔振系统时,需要在稳定度——隔振性能之间作出合适的取舍。
解决方案
1)优化隔振系统结构,以此降低负载重心 ;
2)使两隔振支腿间距变宽 ;
被动隔振光学平台
被动隔振光学平台***般由质量 - 弹簧 - 阻尼系统组成,主要使用线 圈弹簧、隔振橡胶垫或空气弹簧来隔离地基振动,或是隔离振动源使其振动不至于传递到地基。该系统的优点为简单的构成即可获得***大的隔振效果,但其缺点为在低频段的共振,需要很长的稳定时间。
主动隔振光学平台
被动隔振光学平台在低频段难以隔离振动,为改善其隔振性能,主动隔振光学平台安装振动传感器和执行器,以此有效控制振动。
主动隔振光学平台上台面安装振动传感器,测量上台面振动,由反馈控制主动控制力消除振动,同时主动隔振光学平台可以预测地板的振动,由前反馈控制主动控制力消除地板的振动。使用这***控制系统,不仅能够大幅改善被动隔振光学平台的特性,还能有效改善低频段隔振性能,并且不会出现共振。
隔振光学平台的检验说明
卓立汉光具有检测隔振光学平台的设备和能力,主要设备包括 :刀口尺、平面度检测仪、振动频率检测仪等。
注:文章来源于网络,如有侵权,请联系删除








